Guia 3 Ejercicio 21

Guia 3 Ejercicio 21

de TORRES MARIA DELFINA -
Número de respuestas: 4

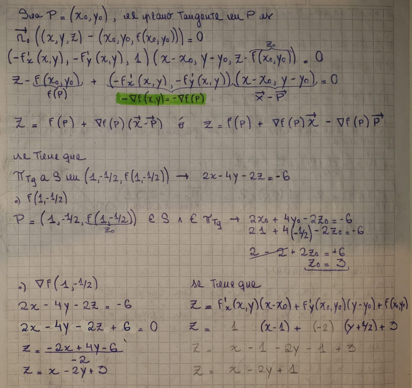
Hola Mati. Estoy haciendo el punto 21 y para calcular el gradiente estoy intentando 'despejarlo' de la ecuacion del plano. Creo que el valor seria (1, -2) pero cuando lo verifico armando la ecuacion del plano nuevamente no me da igual a la ecuacion que ya tengo. No se si se entiende, o sea hay algo que esta mal y no se que es. Saludos y gracias!

Adjunto WhatsApp Image 2023-04-26 at 6.09.51 AM.jpeg
En respuesta a TORRES MARIA DELFINA

Re: Guia 3 Ejercicio 21

de VERA MATIAS ALEJANDRO -
Hola Delfina, te comento lo que encontré:

1) En el renglón donde arrancás con P=(1... fijate que el plano pusiste 2x0+4y0... cuando debería ser 2x0-4y0... Con eso creo que z0 debería darte 5 y se debería cumplir la ecuación del plano.
2) No entiendo bien de donde sacaste los valores del gradiente (1,-2) pero son correctos.

Cualquier cosa volvé a preguntar.
Saludos
En respuesta a VERA MATIAS ALEJANDRO

Re: Guia 3 Ejercicio 21

de TORRES MARIA DELFINA -
O sea, como el 1 es lo que multiplica a la X en la ecuacion del plano deduje que ese es el valor de la derivada con respecto a x en el punto, y lo mismo hice para Y. Esta mal de esa forma? Sino no me doy cuenta de como hacerlo
En respuesta a TORRES MARIA DELFINA

Re: Guia 3 Ejercicio 21

de VERA MATIAS ALEJANDRO -
Te referís a de donde sacaste los valores (1,-2)? Si es así tenés razón: la derivada del plano tangente en el punto coincide con la derivada de la superficie en el punto. Solo que no había entendido que hiciste eso (no dije que estaba mal, solo que no entendí).