(con respecto a la consulta anterior)

(con respecto a la consulta anterior)

de TORRES MARIA DELFINA -
Número de respuestas: 0

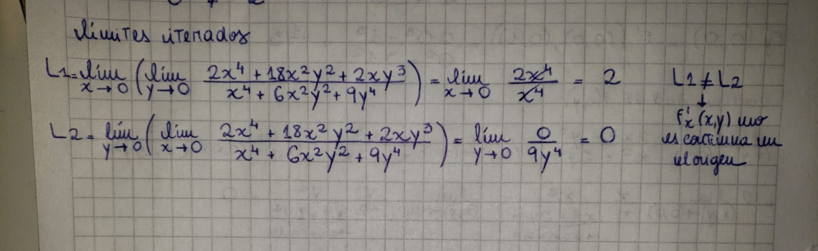
Al final creo que lo pude resolver por iterados. Pero igual me gustaria saber porque no me da bien con el 0.acotado del anterior

Adjunto WhatsApp Image 2023-04-21 at 3.54.06 PM.jpeg